Ngày 11/12/2023, Sở Giao thông Vận tại có Quyết định số 1649/QĐ-SGTVT xử lý vi phạm trong hoạt động kinh doanh vận tải, thu hồi phù hiệu đối với 154 phương tiện thuộc 98 đơn vị vận tải do vi phạm tốc độ trong tháng 10 năm 2023.
Lý do thu hồi phù hiệu: Có từ 05 lần vi phạm tốc độ/1.000km xe chạy (không tính các trường hợp vi phạm tốc độ từ 05 km/h trở xuống theo quy định tại điểm b khoản 10 Điều 22 Nghị định số 10/2020/NĐ-CP ngày 17/01/2020 của Chính phủ).
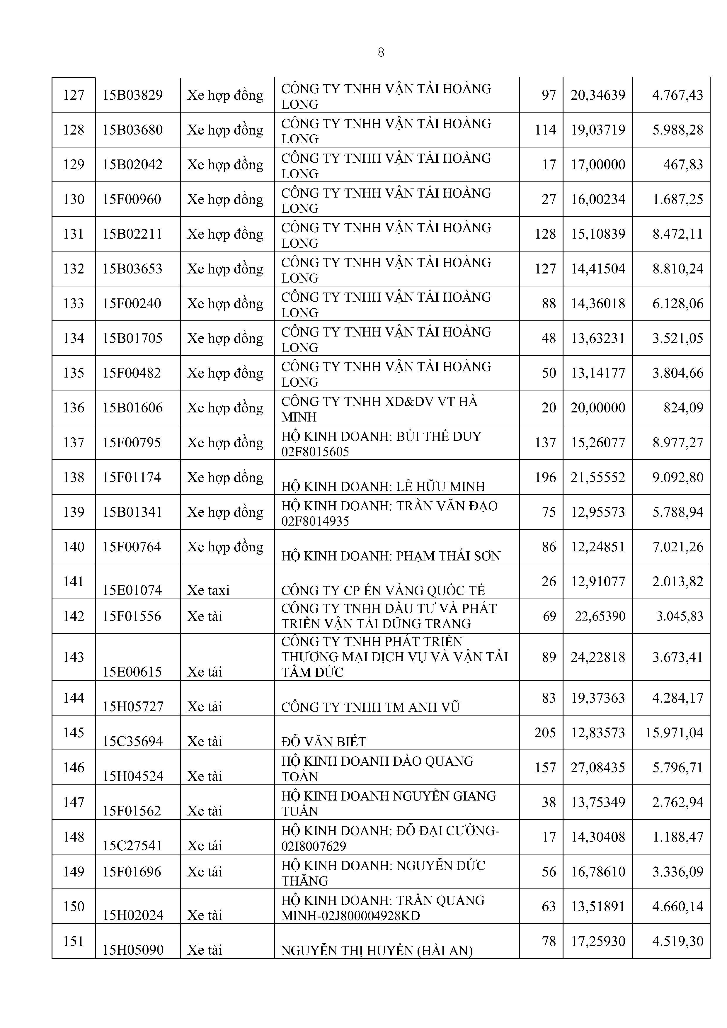
(Danh sách chi tiết các đơn vị có phương tiện vi phạm tốc độ bị thu hồi phù hiệu theo phụ lục đính kèm).

Phù hiệu đã cấp cho các phương tiện nêu tại Điều 1 không còn giá trị sử dụng kể từ ngày Quyết định có hiệu lực.
Yêu cầu các đơn vị vận tải có phương tiện vi phạm nêu trên:
Chậm nhất sau 15 ngày kể từ khi Quyết định được ban hành, đơn vị kinh doanh vận tải phải nộp lại phù hiệu về Sở Giao thông vận tải Hải Phòng. Trường hợp quá thời hạn trên đơn vị kinh doanh vận tải không thực hiện giao nộp phù hiệu theo quy định, Sở GTVT Hải Phòng sẽ cập nhật vào Chương trình Quản lý kiểm định để cảnh báo phương tiện liên quan đến vi phạm bị xử lý thu hồi phù hiệu, biển hiệu. (Các Trung tâm đăng kiểm xe cơ giới sẽ không kiểm định an toàn kỹ thuật và bảo vệ môi trường đối với các phương tiện có vi phạm thuộc diện bị thu hồi phù hiệu theo quy định tại Khoản 6 Điều 4 Thông tư số 70/2015/TT-BGTVT ngày 09/11/2015 của Bộ trưởng Bộ Giao thông vận tải quy định về kiểm định an toàn kỹ thuật và bảo vệ môi trường phương tiện giao thông cơ giới đường bộ).
Tổ chức kiểm điểm chấn chỉnh công tác quản lý hoạt động của bộ phận theo dõi an toàn giao thông; yêu cầu đội ngũ lái xe nghiêm chỉnh chấp hành các quy định về tốc độ và thời gian lái xe, thường xuyên kiểm tra thiết bị giám sát hành trình để bảo đảm duy trì tình trạng kỹ thuật tốt, hoạt động liên tục và truyền dẫn dữ liệu theo quy định trong suốt quá trình tham gia giao thông;
Nếu có nhu cầu tiếp tục sử dụng phương tiện tham gia kinh doanh vận tải thì đơn vị kinh doanh vận tải phải làm thủ tục để được cấp lại phù hiệu theo quy định tại Khoản 8, Điều 1 của Nghị định số 47/2022/NĐ-CP.
Quyết định có hiệu lực kể từ ngày ký ban hành.
Tài liệu kèm theo: Quyết định số 1649/QĐ-SGTVT

