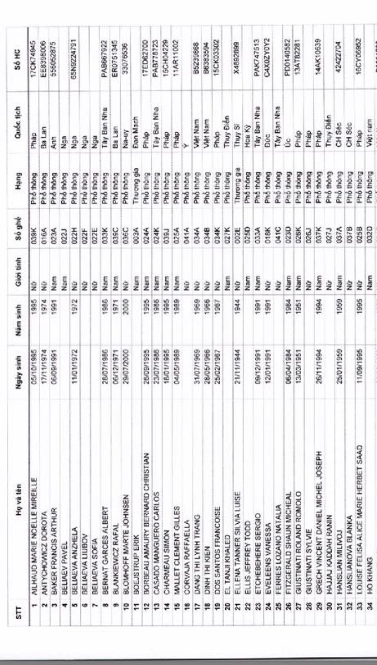
Khẩn cấp; đề nghị các đơn vi, các địa phương khẩn trương rà soát, đối chiếu với tên của 76 hành khách (có danh sách kèm theo). Đây là các hành khách cùng chuyến bay của bệnh nhân số 34.
Hiện bệnh nhân này từ khi về nước đã lây bệnh cho 8 người. Hải Phòng qua ra soát đã có 9 F1 hiện đang chờ kết quả xét nghiệm, và nhiều F2 đã đưa đi cách ly tập trung. Đề nghị các đơn vị triển khai rà soát triệt để để kịp thời phát hiện, ngăn chặn, cách ly kịp thời.
– Các đơn vị trong ngành và sở y tế đăng tải danh sách trên website
– Đề nghị Đài phát thanh và truyền hình cho thông tin trên đài truyền hình
– Đề nghị Sở Thông tin và Truyền thông thông tin đến các cơ quan thông tấn báo chí và nhân dân thành phố.
– Đề nghị Công an thành phố phối hợp chỉ đạo.




Tiện ích thông tin
Nguồn tin
QR Code
Tin khác

