Sở Y tế thành phố vừa đề nghị các đơn vị và địa phương tiếp tục khẩn trương rà soát triệt để, đối chiếu tên của 76 hành khách đi cùng chuyến bay với bệnh nhân số 34 để ngăn chặn, cách ly kịp thời (hiện, bệnh nhân này từ khi về nước đã lây nhiễm cho 8 người). Qua rà soát, tại thành phố Hải Phòng đã có 9 F1 hiện đang chờ kết quả xét nghiệm và nhiều F2 đã đưa đi cách ly tập trung.
Trước đó, ngày 10/3/2020 hệ thống giám sát bệnh truyền nhiễm của Việt Nam đã ghi nhận 01 trường hợp nhập cảnh tại sân bay Tân Sơn Nhất ngày 02/3/2020 trên chuyến bay số hiệu QR 974 của Qatar Airway xuất phát từ Doha (Qatar) có kết quả xét nghiệm dương tính với vi rút COVID-19. Trên chuyến bay nói trên, có tổng cộng 76 hành khách (gồm 21 người Việt Nam và 55 người nước ngoài).


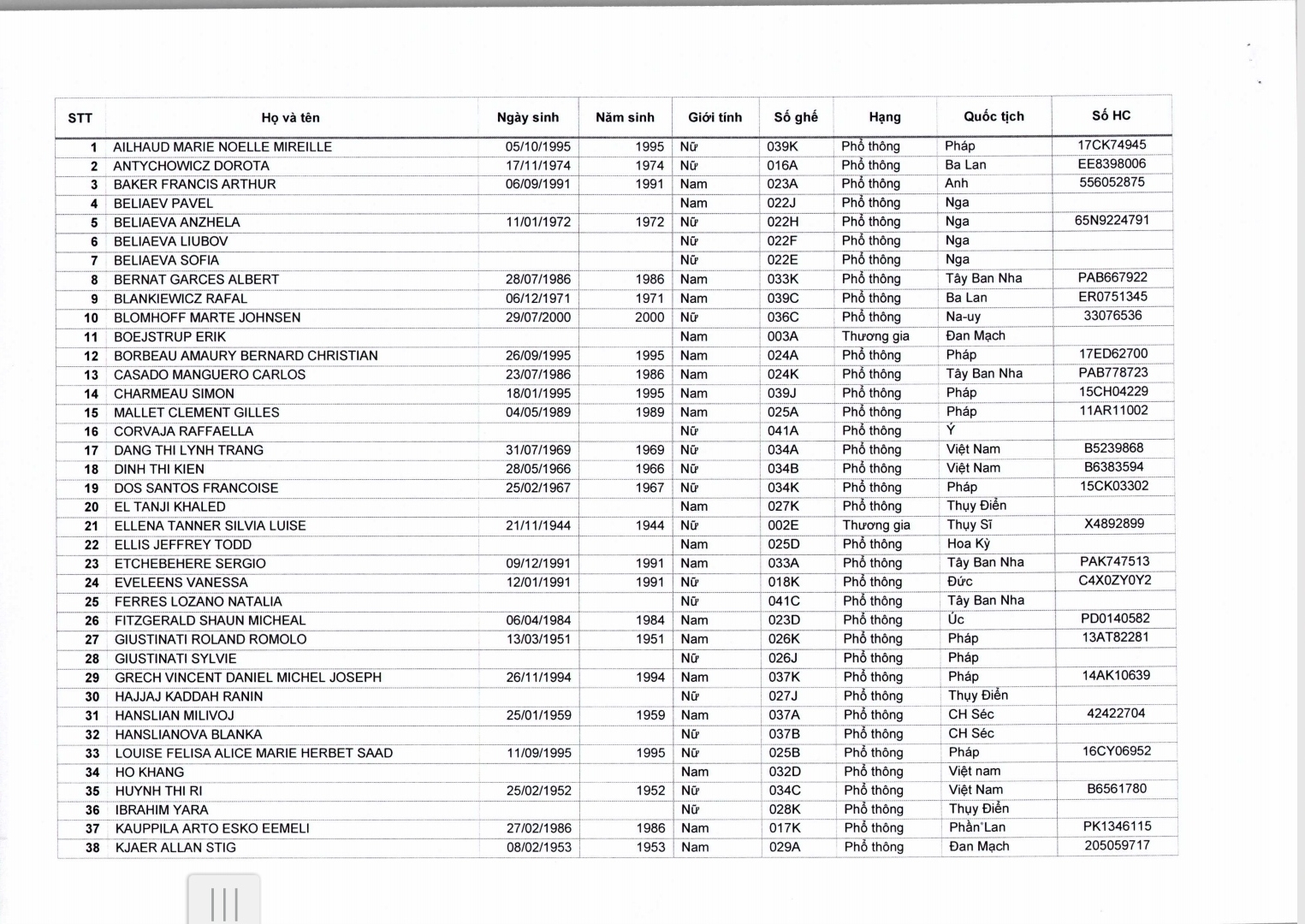
Danh sách các hành khách:


Thực hiện chỉ đạo của Thủ tướng Chính phủ về việc tăng cường phòng, chống dịch bệnh COVID-19, Ban Chỉ đạo Quốc gia phòng chống dịch bệnh COVID-19 đã đề nghị Bộ Công an và UBND các tỉnh, thành phố trực thuộc TW khẩn trương chỉ đạo các cơ quan liên quan thực hiện một số nội dung để rà soát, xác minh tất cả các trường hợp vào Việt Nam từ chuyến bay số hiệu QR 974 của Qatar Airway; đồng thời triển khai các biện pháp cách ly và theo dõi sức khỏe đối với các hành khách.

