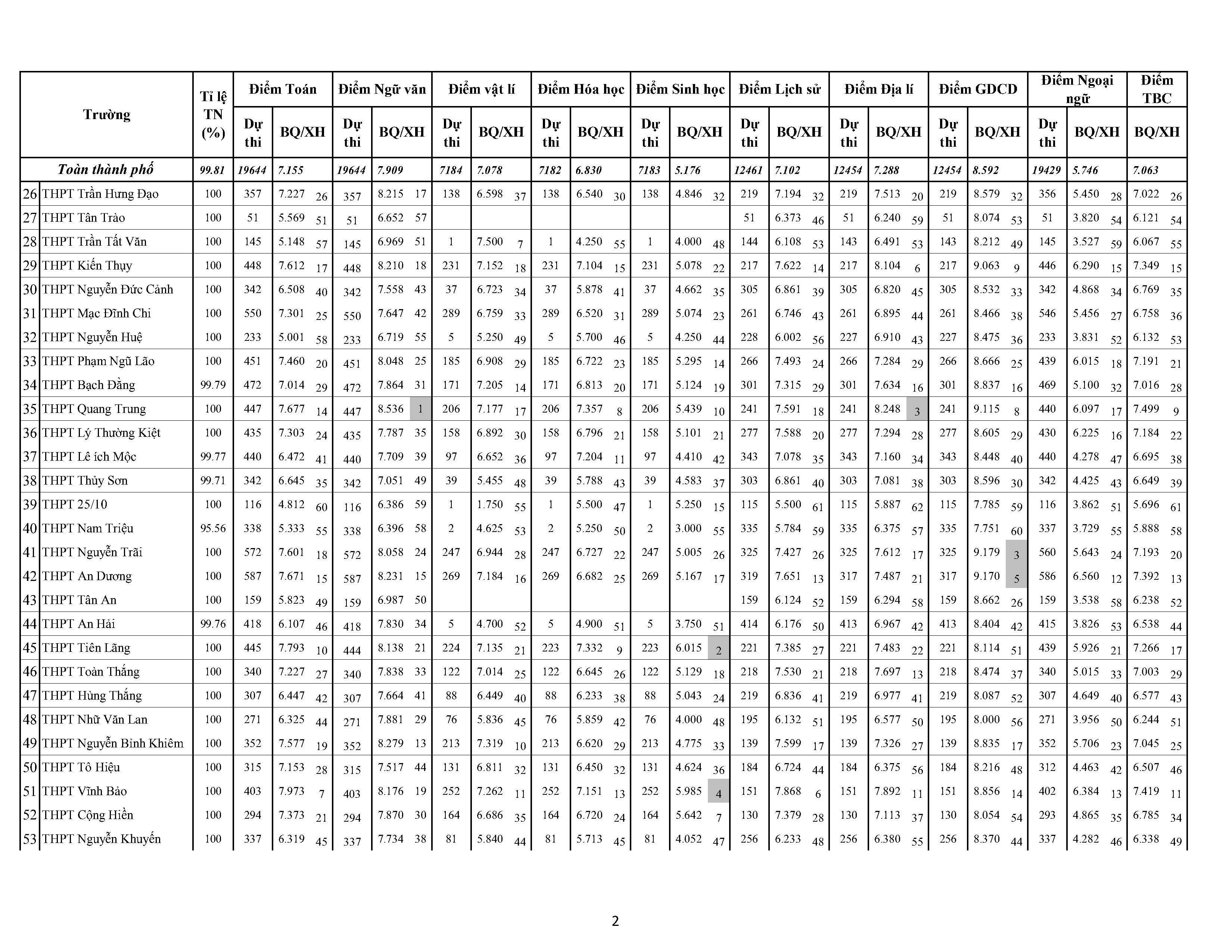
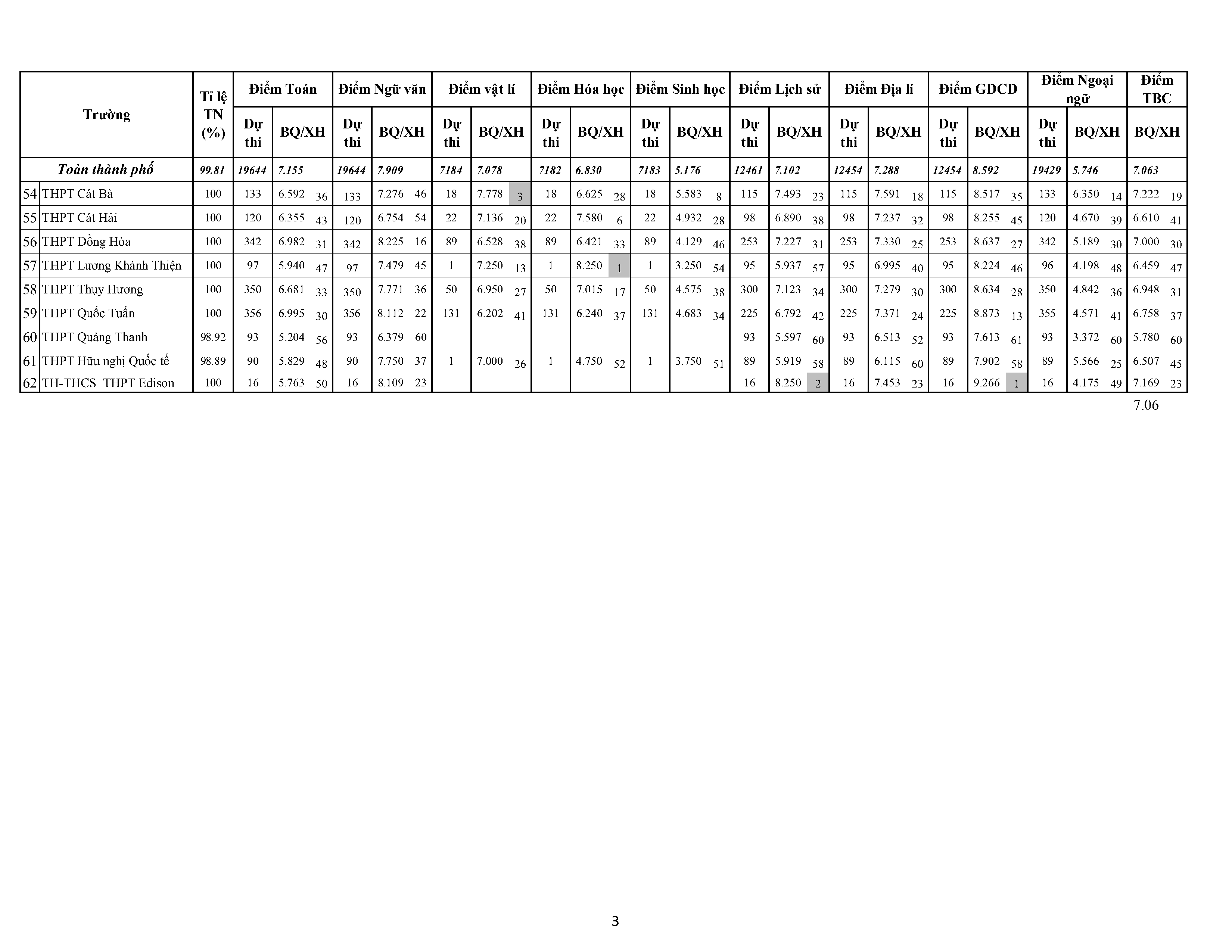
Sáng 31/7, Sở Giáo dục và Đào tạo thành phố công bố bảng tổng hợp điểm thi các môn kỳ thi tốt nghiệp THPT năm 2022 (trước phúc khảo) khối 62 trường THPT trên địa bàn thành phố.
Theo đó, Trường THPT chuyên Trần Phú đứng thứ nhất với điểm trung bình cộng 8,02; thứ 2 là THPT Thăng Long với 7,952; thứ 3 là THPT Anhxtanh với 7,849…

Cụ thể, về môn Toán, Trường THPT Ngô Quyền dẫn đầu với điểm bình quân 8,201 điểm; đứng thứ 2 là THPT chuyên Trần Phú với 8,191; THPT Trần Nguyên Hãn xếp vị trí thứ 3 với 8,122.
Về môn Ngữ văn có bất ngờ khi Trường THPT Quang Trung vươn lên vị trí thứ nhất với điểm bình quân 8,536; thứ 2 là THPT Lê Quý Đôn với 8,512; THPT Lê Hồng Phong xếp vị trí thứ 3 với 8,482.
Môn Ngoại ngữ, THPT chuyên Trần Phú khẳng định vị trí thứ nhất với điểm bình quân 8,796; đứng thứ 2 là THPT Ngô Quyền với 8,017, thứ 3 là THPT Thái Phiên với 7,926.
Trường THPT Anhxtanh giữ vị trí số 1 các môn Sinh học với điểm bình quân 6,693 và Vật lý với 8,193; THPT Lương Khánh Thiện giữ vị trí số 1 môn Hoá học với điểm bình quân 8,25; THPT Kiến An đứng đầu môn Lịch sử với 8,287; THPT Thăng Long dẫn đầu môn Địa lý với 8,585. Môn Giáo dục công dân, Trường TH-THCS-THPT Edison xếp vị trí thứ nhất với điểm bình quân 9,266./.




Tin và Ảnh: Bùi Hạnh

