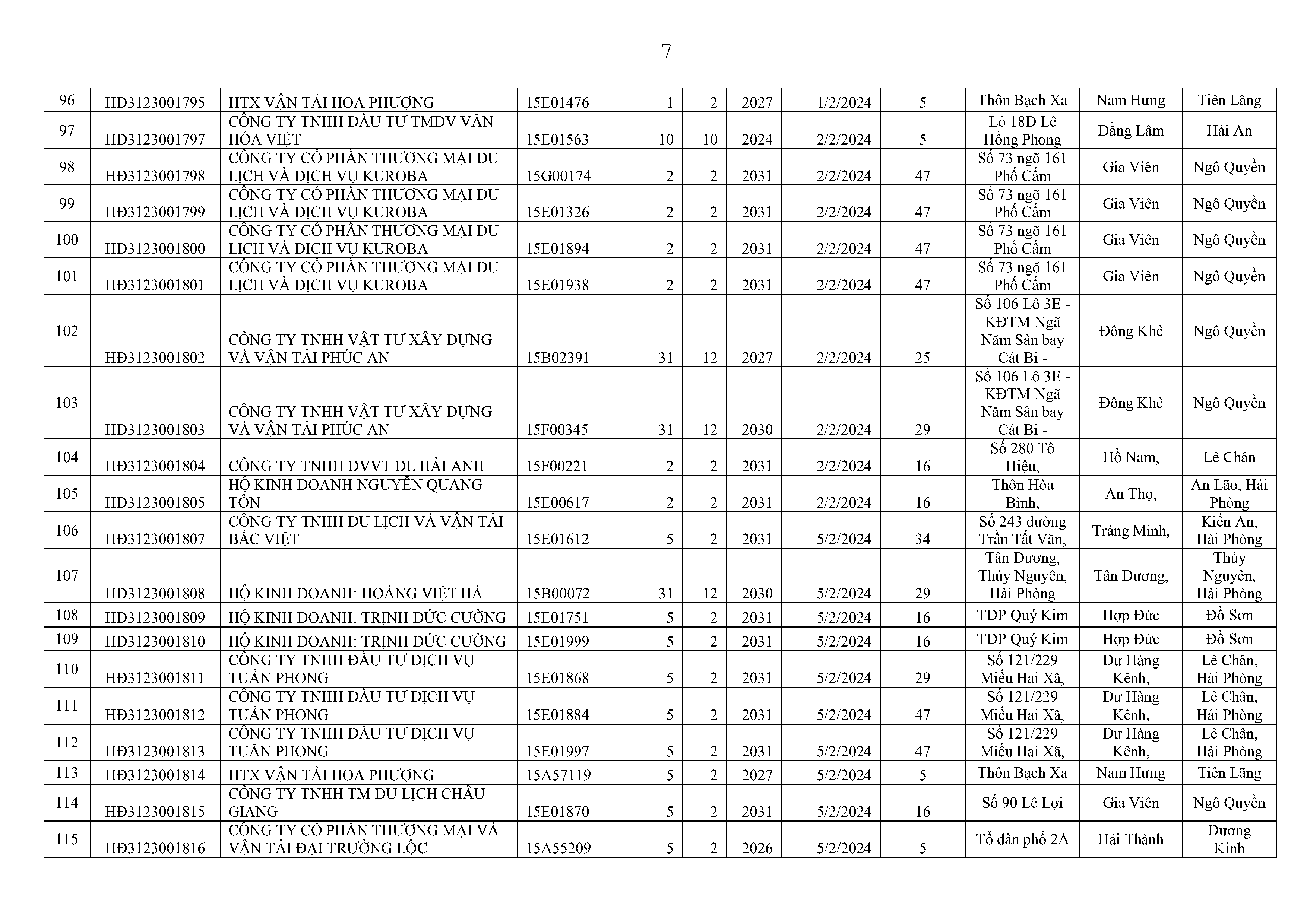
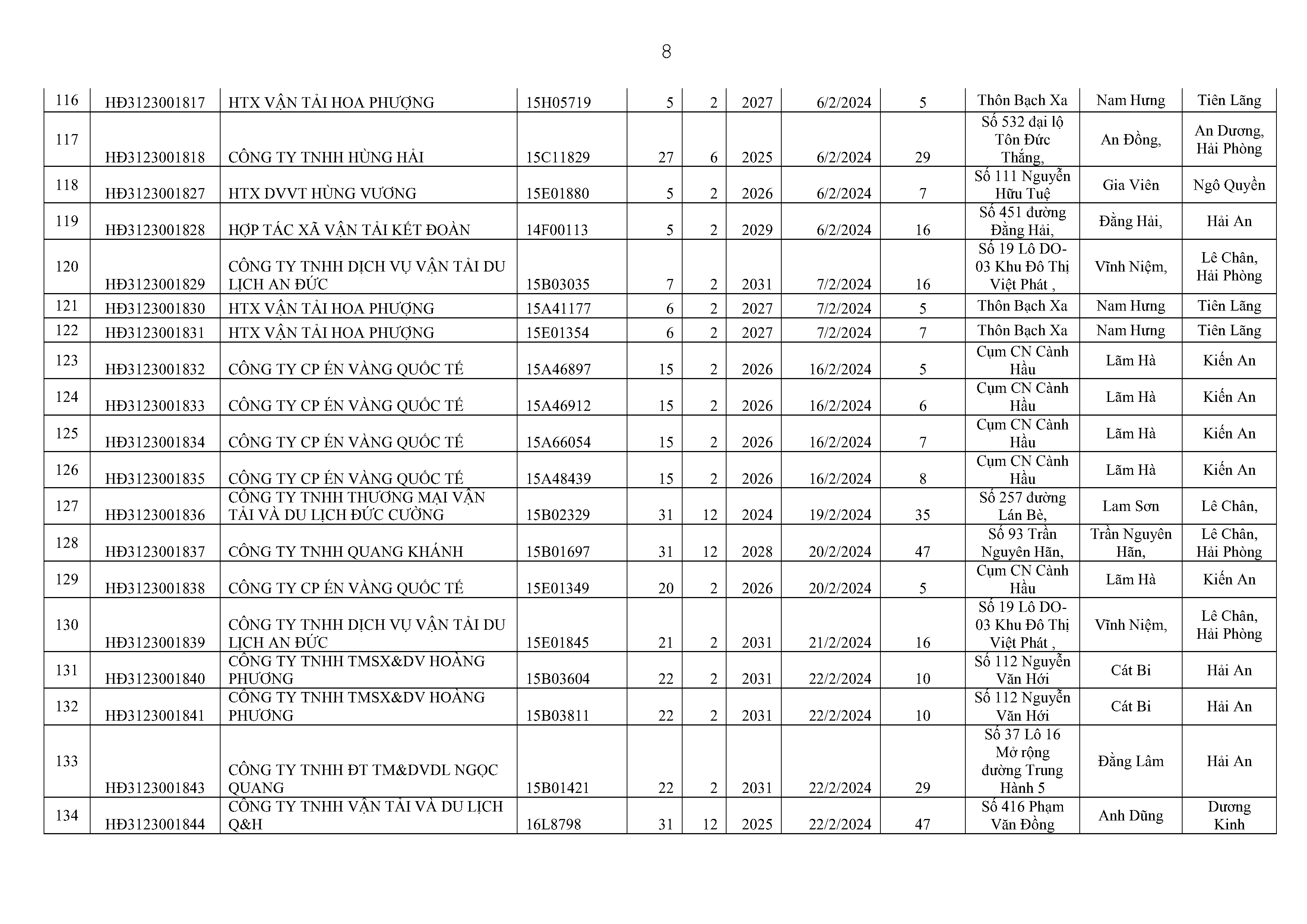
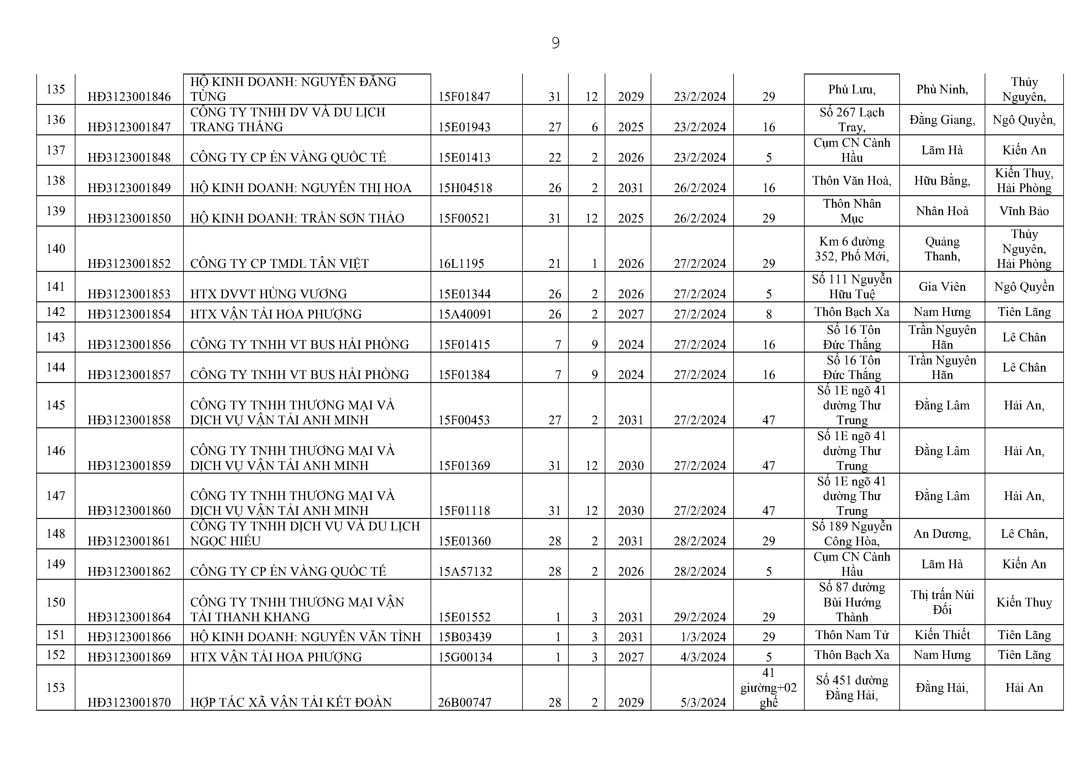
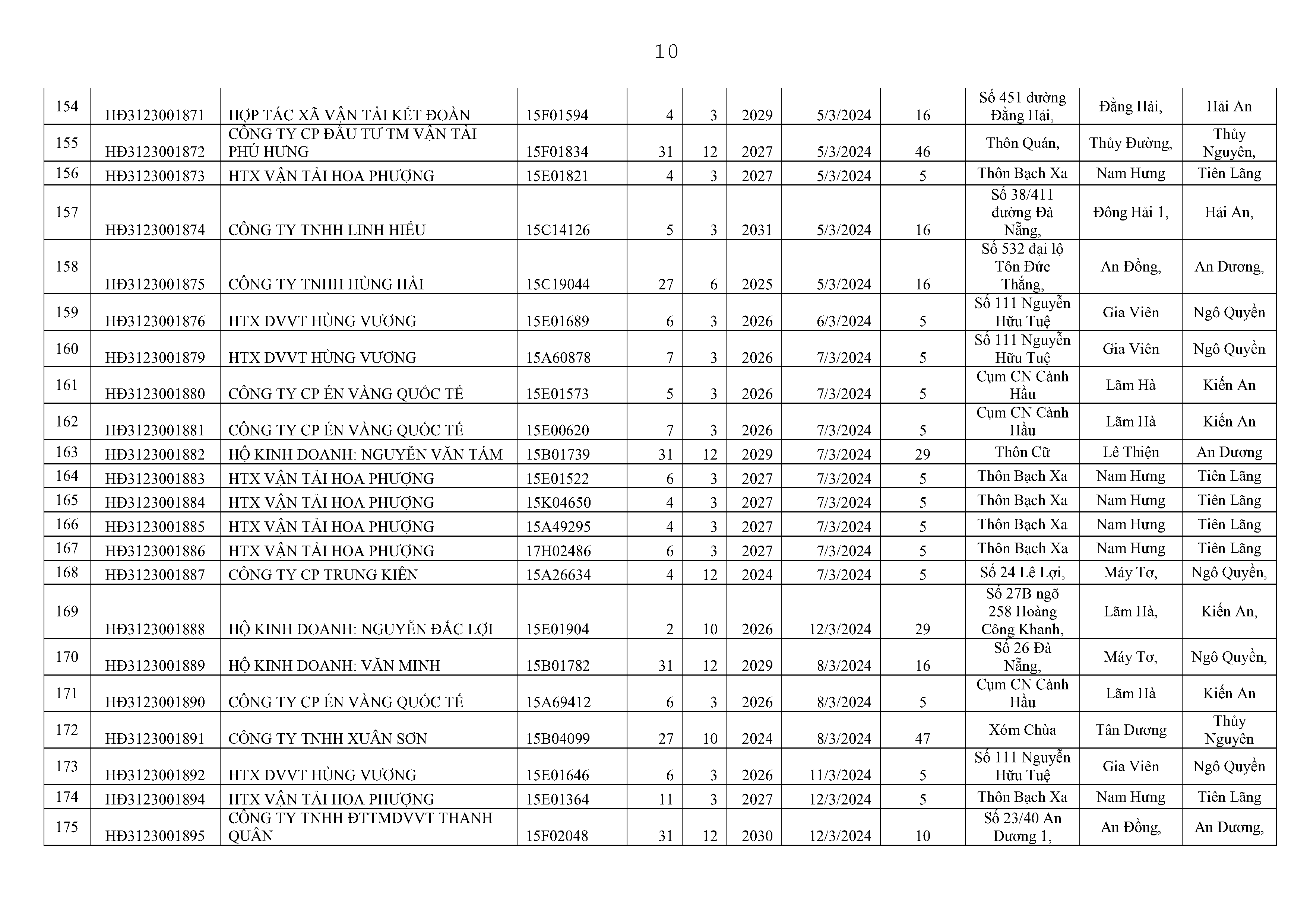
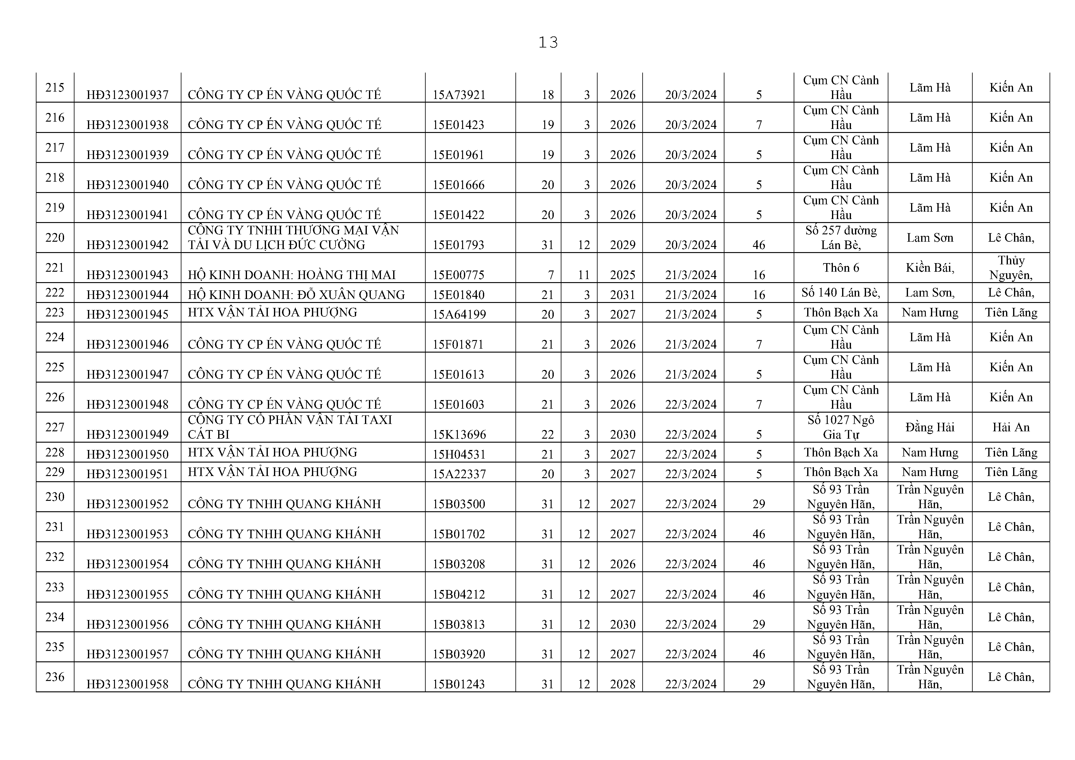
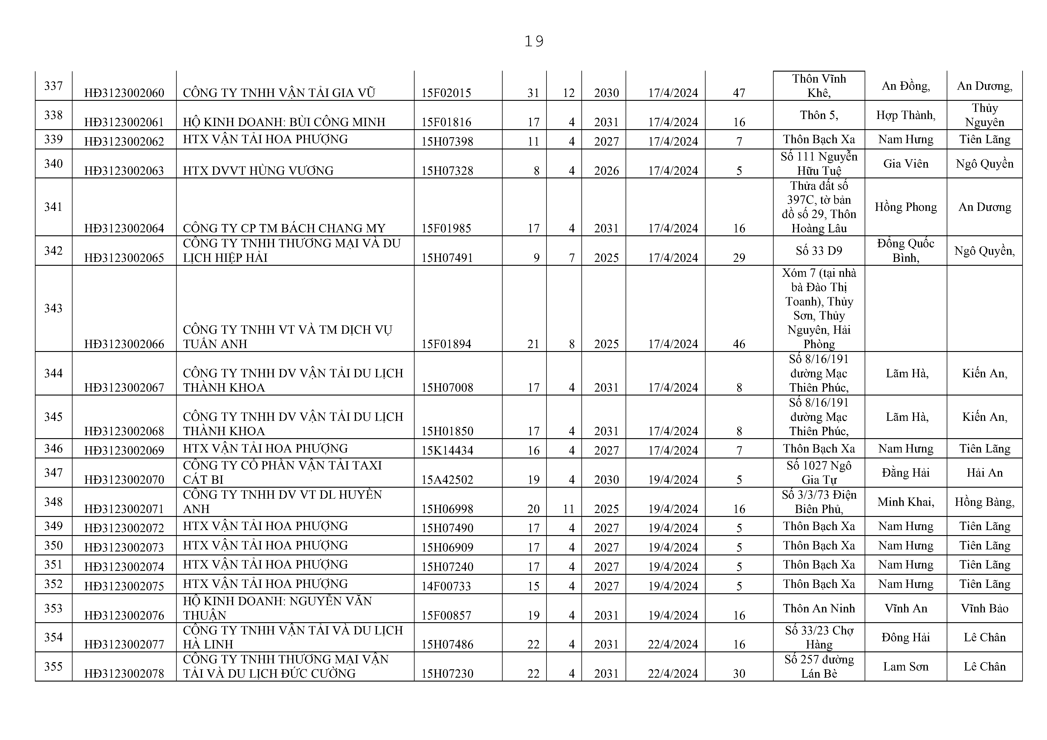
Sở Giao thông Vận tải Hải Phòng có Thông báo số 1996/SGTVT-QLVT ngày 03/5/2024 về việc thông báo danh sách xe ô tô được cấp Phù hiệu xe hợp đồng, biển hiệu xe du lịch trên địa bàn thành phố.
Thực hiện quy định tại khoản 8 Điều 7, khoản 8 Điều 8 Nghị định số 10/2020/NĐ-CP ngày 17/01/2020 của Chính phủ quy định về kinh doanh và điều kiện kinh doanh vận tải bằng xe ô tô. Để tăng cường công tác phối hợp quản lý loại hình kinh doanh vận tải hành khách bằng xe ô tô theo hợp đồng, xe du lịch, Sở Giao thông vận tải thông báo danh sách xe ô tô được cấp Phù hiệu xe hợp đồng và Biển hiệu xe du lịch từ ngày 01/01/2024 đến hết ngày 30/4/2024 theo phụ lục đính gửi kèm theo.






















Tiện ích thông tin
Nguồn tin
haiphong.gov.vn QR Code
Tin khác

